Dövlət Xidməti unun topdansatış qiymətləri barədə məlumat yayıb
Hazırda Azərbaycanda 50 kq-lıq un kisələrinin topdansatış qiymətləri 26-28 manat arasında dəyişir.
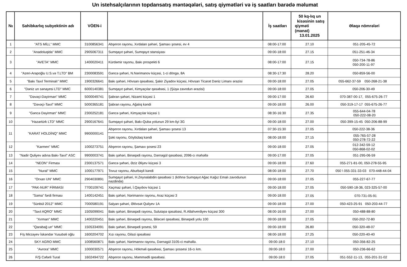
İqtisadiyyat Nazirliyi yanında Antiinhisar və İstehlak Bazarlarına Nəzarət Dövlət Xidməti Un istehsalçılarının topdansatış məntəqələri, satış qiymətləri və iş saatları barədə məlumat yayıb.
Qeyd edilib ki, 13 Yanvar 2025-ci il tarixində 50 kq-lıq un kisəsinin satış qiymətləri 26 manat - 28.20 manat civarındadır.
Müştərilərin xəbərləri
SON XƏBƏRLƏR
- 1 ay sonra
- 2 həftə sonra
- 3 gün sonra
-
-
2 gün sonra
Yay mövsümü üçün iş: Supermarketlər şəbəkəsi işə qəbul elan etdi
-
9 d. əvvəl
“Assist Finance İnvestisiya Şirkəti”ndə ciddi azalmalar baş verib
-
58 d. əvvəl
Məşhur avtomobil tüninqi şirkəti BRABUS Azərbaycanda daşınmaz əmlak layihəsi təqdim edir
-
1 saat əvvəl
“Baku White City” və “Sea Breeze” birgə fəaliyyət haqqında saziş imzalayıblar
- 1 saat əvvəl
- 1 saat əvvəl
- 1 saat əvvəl
- 1 saat əvvəl
- 1 saat əvvəl
Son Xəbərlər
Azvak.az-da yeni iş elanları
55 manatdan bank səhmdarı olmaq fürsəti: SON 21 GÜN
Bank sərfəli şərtlərlə əmanət qəbuluna davam edir
“Assist Finance İnvestisiya Şirkəti”ndə ciddi azalmalar baş verib
"Hermes Finance"da yığıncaq keçiriləcək
"Level Leasing"də yığıncaq keçiriləcək
Ən çox oxunanlar
"Azər-Türk Bank"da yığıncaq keçiriləcək.
Yapon avtomobili Nissan Magnite - CƏMİ 27 900 MANATA
İnvestorlar üçün tarixi fürsətdə vaxt azalır – SON 21 GÜN
Bakı Ağ Şəhərdə torpaq sürüşməsi
Bank of Baku-dan ölkəxarici pul köçürmələrinə ENDİRİM
Dolların bazar ertəsi üçün rəsmi məzənnəsi müəyyən olunub
"Kred Aqro" BOKT 2025 ci ilin yekunları üzrə hesabat təqdim etdi






.jpg)
.jpg)












